Pseudo-Scientist: Towards Narrative Interventions for Imposter Syndrome
RESEARCH OVERVIEW
This research explores how interactive digital storytelling can be used as a scalable mental health intervention for imposter syndrome among undergraduate STEM students. Imposter syndrome is a widespread psychological experience that negatively affects confidence, well being, and academic or professional growth, especially among undergraduate STEM students. Despite its prevalence, many students feel isolated in these experiences and hesitate to talk about them due to stigma or fear of appearing incompetent. This isolation often reinforces self doubt and prevents early support seeking.
While imposter syndrome has been extensively studied, there are very few scalable and accessible interventions that effectively support individuals in recognizing and normalizing these feelings. Existing approaches such as workshops or therapy require significant resources and may feel intimidating or inaccessible. Additionally, there is limited empirical research examining how interactive narrative design can be used as a mental health intervention, particularly how specific design choices influence emotional impact and engagement.
This research investigates interactive digital storytelling as a low barrier, scalable intervention that can be deployed within educational institutions. By focusing on relatable narrative experiences rather than instruction or diagnosis, the project demonstrates how human centered design can support emotional validation, self reflection, and social connection around imposter syndrome.
RESEARCH QUESTIONS
- After reading a relatable interactive story themed around IS, do undergraduate students report improved awareness of IS, specifically within themselves and/or peers, and does this increase in awareness correspond to an improvement in mood?
- How effective is a relatable interactive story themed around IS for helping readers become more willing and/or able to communicate with others about IS?
- Does removing the provision of choice in a branching narrative – effectively making it a linear story – decrease engagement and/or impact compared to the interactive version of the same story?
- Does reducing the relatability of the main character decrease engagement and/or impact compared to the more relatable version of the same interactive story?
MY RESEARCH APPROACH
-
Design of the Game
- Interactive Narrative Development: The game was designed as a choice based digital narrative using Twine, focusing on emotionally authentic storytelling rather than explicit instruction. The narrative centered on undergraduate STEM students navigating self doubt within a research lab environment.
- Multiple Story Versions for Controlled Comparison: Three versions of the game were created to isolate design factors: an interactive story from the perspective of a character currently experiencing imposter syndrome, a linear version without choices, and an interactive story from the perspective of a character who had already overcome imposter syndrome.
-
Data Collection
- Participant Recruitment and Assignment: Undergraduate STEM students were recruited and randomly assigned to one of the three story conditions to ensure balanced comparison across groups.
- Post Gameplay Survey Measures: After completing the story, participants responded to a survey measuring engagement, mood change, character relatability, awareness of imposter syndrome, and intent to communicate about their experiences.
-
Data Analysis
- Quantitative Analysis of Survey Responses: Statistical analyses were conducted to compare engagement, mood, and learning outcomes across conditions and to identify relationships between relatability and engagement.
- Qualitative Thematic Analysis: Open ended responses were analyzed using thematic analysis to identify recurring emotional, cognitive, and experiential patterns in participants’ reflections.
RESEARCH FINDINGS
-
Effects of the Story on Mood and Awareness
- Increased Awareness of Shared Experience: Participants recognized imposter syndrome as a common experience rather than a personal failure. This awareness reduced feelings of isolation and helped reframe self doubt as socially shared.
- Mood Improvement Through Emotional Validation: Positive changes in mood were driven by emotional validation rather than novelty or entertainment. Seeing internal thoughts reflected in the character helped participants feel understood.
- Limited Impact Without New Awareness: Participants who reported no change in mood often stated that the story did not provide new insight. Without meaningful recognition, emotional benefits were reduced.
-
Role of Learning and Reflection
- Learning Through Narrative Recognition: Participants learned by recognizing familiar thought patterns in the story rather than through explicit instruction. This reflective learning supported deeper understanding.
- Externalization Enabled Safe Self Reflection: Observing imposter thoughts through a fictional character allowed participants to reflect at a psychological distance, supporting emotional processing.
- Reflection Influenced by Prior Experience: Participants with stronger personal experiences of imposter syndrome engaged more deeply in reflection, shaping the story’s impact.
-
Interactivity and Autonomy
- Interactivity Did Not Alter Outcomes: The presence or absence of choice did not significantly affect engagement, mood, or learning outcomes across story versions.
- Autonomy Was Not a Primary Driver: Although choice is often associated with autonomy, participants did not report agency as a major contributor to impact in this context.
- Narrative Content Outweighed Mechanics: Participants focused more on emotional meaning and story content than on interaction mechanics or control.
-
Character Relatability and Relatedness
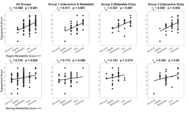
- Relatability Predicted Engagement: Participants who related to the character experiencing imposter syndrome showed significantly higher engagement than those who did not.
- Internal Experience Drove Relatability: Relatability emerged from internal dialogue, insecurity, and fear of inadequacy rather than demographic similarity.
- Relatedness Achieved Without Social Interaction: Even in a single player experience, perspective taking and emotional authenticity enabled feelings of connection.
DESIGN IMPLICATIONS
-
Designing for Mood and Awareness
- Normalize Rather Than Diagnose: Designs addressing mental health should focus on normalizing experiences instead of labeling or diagnosing users. Presenting imposter syndrome as common and shared helped reduce isolation without triggering defensiveness.
- Make Emotional Validation an Explicit Goal: Mood improvement emerged when participants felt emotionally validated. Designers should intentionally craft moments where users feel seen and understood rather than surprised or entertained.
- Account for Emotional Sensitivity: Emotionally authentic narratives can resurface difficult memories. Designs should allow users to engage safely and avoid overly intense framing when working with lived experiences.
-
Designing for Learning and Reflection
- Enable Learning Through Recognition: Instead of direct instruction, learning occurred when participants recognized familiar thought patterns. Narrative mirroring helps users arrive at insights independently.
- Use Externalization to Support Reflection: Showing self doubt through a character allowed participants to reflect from a psychological distance. Indirect representation can be more effective than self focused prompts.
- Design for Varying Levels of Prior Experience: Participants with prior experience of imposter syndrome engaged more deeply. Designs should offer layered meaning rather than assume a uniform audience.
-
Designing Interactivity and Autonomy
- Do Not Assume Interactivity Equals Impact: The absence of significant differences between interactive and linear versions shows that choice alone does not guarantee engagement or learning.
- Use Interactivity to Support Meaning: When used, interactivity should reinforce emotional or narrative meaning rather than provide superficial control.
- Prioritize Narrative Coherence: Emotional coherence mattered more than branching complexity. Designers should favor clarity and continuity when addressing sensitive topics.
-
Designing for Relatability and Relatedness
- Design Characters Around Internal Experience: Relatability was driven by internal thoughts and emotions rather than demographic traits. Psychological realism is essential for connection.
- Use Perspective Taking to Foster Connection: Perspective taking enabled feelings of relatedness even in a single player experience through emotionally grounded storytelling.
- Support Private Relatedness: Feelings of connection do not require social participation. Private narrative experiences are especially valuable for stigmatized topics.
IMPACT & NEXT STEPS
-
Impact of the Research
- Demonstrated Value of Narrative as a Mental Health Intervention: The study shows that emotionally grounded digital narratives can function as low barrier mental health interventions by validating lived experiences and reducing feelings of isolation.
- Challenged Assumptions About Interactivity in Design: Findings reveal that meaningful impact does not depend on choice based interactivity, shifting focus toward emotional authenticity and narrative quality.
- Provided Evidence for Scalable Institutional Use: Because the experience is self guided and lightweight, it can be deployed broadly within educational settings to support student well being without requiring significant resources.
-
Next Steps
- Evaluate Long Term Behavioral Outcomes: Future work should examine whether narrative experiences lead to sustained changes, such as increased help seeking, peer communication, or reduced imposter feelings over time.
- Expand to Other Populations and Contexts: The narrative framework can be adapted for different student populations, professional settings, or other mental health challenges beyond imposter syndrome.
- Explore Alternative Narrative Formats: Future studies could investigate audio, visual, or multimodal storytelling to understand how different narrative forms influence emotional impact and accessibility.


